中国芯片产业发展3大难点,我们该如何突围?

收藏
关键词: -
资讯来源:火石创造
发布时间: 2022-02-22

声明:本文为火石创造原创文章,欢迎个人转发分享,网站、公众号等转载需经授权。

从孟晚舟被困海外到顺利归国,芯片成为了中国大众最为熟知的高科技产业之一。芯片是信息时代的“石油”,缺心眼可以,缺芯可不行。谁能控制芯片,谁就能左右世界的命运。

芯片产业历史波澜壮阔,除去近二十年才加入的后来者中国,芯片产业玩家只有4个:产业霸主美国、昔日王者日本、独树一帜的韩国、稳扎稳打的欧洲。如今,21世纪全球芯片产业为——日本、欧洲、美国牢牢把控产业链中的材料和设备环节,韩国和中国占据着制造与封测环节的产业格局。全球芯片,尽在囊中。
 

图1:集成电路工艺图

来源:火石创造根据公开资料整理


抛开制造不谈,如果追根溯源,国产CPU的设计大致有以下几种:
  • 破解、打磨别人的CPU,如汉芯;

  •  获得别人授权,在此基础上加入自己的设计,如华为海思,获得ARM授权后,再自行设计;苹果、三星、高通和联发科也是如此;

  • 购买全套方案,代表有超算太湖之光用的申威系列CPU;

  • 自主设计+多架构兼容:2001年龙芯由中科院计算机所成立课题组研制,2017年发布龙芯3号。因微结构上的差距,龙芯3号性能上只有同期ADM和Intel芯片的35%,而且使用的是MIPS授权架构。2021年7月,龙芯中科发布3A5000处理器,支持自主LoongArch指令系统,兼容MIPS、ARM及x86指令集,标志着龙芯芯片自主研发成功。

图2:CPU架构分类 (国内自主架构CPU厂商目前只有龙芯

来源:火石创造根据公开资料整理


相比我国在1958年提出原子弹研制计划,1964年10月16日15时,第一颗原子弹爆炸成功,耗时6年就成功完成了原子弹的研发和制造。目前世界上核武国家有美国、英国、俄罗斯、法国、中国、印度、巴基斯坦、以色列等,还有南非、阿根廷、巴西等弃核国家,有能力生产原子弹的国家大概有十四五家;世界上有能力设计生产电脑CPU的国家仅有美国、中国(包括台湾省),有能力设计生产手机SOC芯片的国家只有中国、美国、韩国。

对任何国家来说,相比原子弹,芯片制造自主之路显得更加艰辛漫长。不仅如此,芯片的起源国、半导体霸主美国一直在强力控制着全球芯片产业,从未停止过对威胁者的打击。

  • 1986年,美国以国家安全为由,要求日本开放半导体市场,与日本签署《美日半导体协议》,导致日本半导体全球份额从40%(1986年)下滑至10%(2020年),DRAM全球份额从80%(1986年)跌至7%(2020年);


图3:1987年,五位 美国国会议员在国会大厦门口抡起大锤砸毁了一台日本东芝的收音机
来源:网络,侵删
 
  • 2021年9 月 24 日,美国商务部工业和安全局发布 " 半导体供应链风险公开征求意见 ",要求台积电、三星等在内的多家芯片相关企业交出被视为商业机密的库存量、订单、销售记录等数据。

 

图4:2021年9月美国对全球多家头部芯片企业施加压力
来源:网络,侵删

为何美国政府对半导体产业缕缕出手?相比其他加工制造,集成电路制造有何特殊?芯片生产难在哪?

芯片产业发展有两个关键环节,芯片设计、芯片制造,而难点主要在三个:构建市场生态、芯片制造工艺、先入者强权。


01

第一个难点:构建市场生态




原子弹的买家是政府,产品需求简单明确:性能不是关键,只要能制造成功,起到核威慑足矣。至于原子弹体积比别国大一点,爆炸当量小一点,数量少一点,都不是最重要的,重要的是国家造的出,就拥有了核威慑力量。

芯片则不同,它不是单独的产品,而需要能兼容其他硬软件并支撑应用。英特尔之所以成为X86架构CPU霸主,关键是成功构建了X86架构的生态系统,竞争对手想另起炉灶搞其它架构的CPU,但是系统构建不起来,产品卖不出去,赚不到钱,企业就无以为继。

中国科学院院士,联想前总工程师倪光南在1994年就提出造芯计划,六年后,第一块中国自主研发的芯片"方舟1号"问世,改写了中国"无芯"的历史,可惜"方舟1号"推出市场后,因其没有配套的操作系统等软件支撑,迅速溃败。这也是长期以来国产芯片需要购买授权的原因,一方面是自主架构开发难度大,更重要的是市场生态构建需要极大的投入与长时间的累积,为了快速切入市场,只能切入现有生态。


02

第二个难点:制造工艺




原子弹难在设计和计算,制造并不是最难的。芯片则相反,只要加入市场生态,芯片电路设计就不算难,全球芯片设计公司最多时候上万家,经过优胜劣汰,现在也有上千家。而芯片制造的厂家,现在不超过二十家,第一梯队三家:英特尔、台积电和三星,基本形成寡头垄断格局。

集成电路制造业在几十年中都保持了高速的增长趋势,其集成度的不断提高发展历程就是我们熟知的摩尔定律。摩尔定律有Intel创始人之一G.Moore提出,主要内容为:集成电路的集成度(一定的芯片面积上所制作的晶体管数目),大约每隔18个月便增加一倍,性能亦提升一倍。随着集成度的日益提高,电路的特征尺寸线宽不断缩小。

硅CMOS工艺的技术分代,是通过特征尺寸线宽来表示的。例如,90nm工艺节点,65nm节点等,下代工艺的线宽约为其上一代的0.7倍。对于长、宽均为特征尺寸的正方形来说,正方形面积为其前一代面积的1/2,故集成度提高了1倍。按照摩尔定律,每隔18个月,集成度呈几何级数式的增长,在人类历史上尚不曾有其他产业能够达到。

图5:芯片面积迭代图

来源:火石创造根据公开资料整理

晶体管数量保持不变的情况下, 下一代新工艺的芯片面积是上一代的一半

图6:芯片当前宽度与下一代芯片宽度的关系

来源:火石创造根据公开资料整理

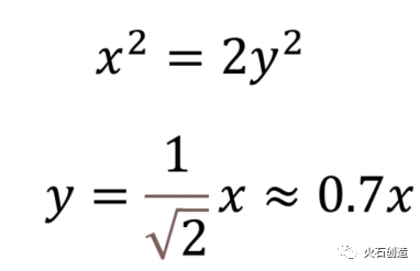
下代工艺的线宽约为其上一代的0.7倍
 

图7:芯片工艺制程(nm)

来源:火石创造根据公开资料整理


(从800nm开始,制程变化:0.8 μ m、0.5 μ m、0.35 μ m、0.25 μ m、0 .18 μm、0.13 μ m、90nm、65nm、45nm、32nm、22nm、16nm、10nm、7nm,5nm)
 

图8:芯片各制程核心厂商列表

来源:火石创造根据公开资料整理


随着制程工艺的进步,玩家越来越少,现在先进制程厂商主要就是台积电和三星,还有一直在追赶的英特尔。

集成电路制造是个复杂的物理-化学过程,技术门槛很高。不同的集成电路加工遵循各自特定的流程进行,而这些流程又是由若干工艺步骤相互衔接组成的,当前先进的硅CMOS加工工艺保函几百步的工艺单步。

工艺单步即通常所说的工艺技术,常见的有氧化、扩散、蒸镀、刻蚀、光刻、离子注入、溅射、化学机械抛光(CMP)等。

 表1:集成电路常见工艺技术


来源:火石创造根据公开资料整理


工艺过程中的自动化调度与监控是集成电路制造流程本身复杂性的自然要求:人身伤害防护主要与上述加工制造的极端环境有关(高温、强电磁场、强光、可能存在的X射线、易燃/易爆/腐蚀性气体)。

如今中国虽然是全球最大的集成电路消费国,但集成电路业发展相对弱小。除开中国台湾,中国大陆半导体企业20%是无晶圆生产线(fabless)芯片设计公司,30%从事晶圆代工,其余的将近50%的企业参与封装和测试环节。因为相比芯片制造,封装和测试的难度会低很多。因此,国产芯片的短板不在设计、封装和测试,而在芯片制造。

当前因为美国对中国芯片的制裁,不少芯片设计公司设计好的芯片流片困难,这也加速了中国集成电路制造的自主可控需求。


03

第三个难点:瓦森纳协定




一条芯片生产线需要一千台设备,十几个大类,总计170个细分类设备。全球没有任何国家有能力实现全产业链自主可控,这就决定了半导体制造是一个全球的联盟游戏,美国就是这个游戏最主要的主导者。
 

图9:瓦森纳协定

来源:网络,侵删


任何半导体技术、芯片技术和美国出口管制的报道,都会被提及一份《瓦森纳协定》,但我们却都非常陌生。

瓦森纳协定又称瓦森纳安排机制,1996年签署设立,全称为《关于常规武器和两用物品及技术出口控制的瓦森纳协定》(The Wassenaar Arrangement on Export Controls for Conventional Arms and Dual-Use Goods and Technologies)

《瓦森纳协定》的加入国是:阿根廷,澳大利亚,奥地利,比利时,保加利亚,加拿大,克罗地亚,捷克共和国,丹麦,爱沙尼亚,芬兰,法国,德国,希腊,匈牙利,印度,爱尔兰,意大利,日本,拉脱维亚,立陶宛,卢森堡,马耳他,墨西哥,荷兰,新西兰,挪威,波兰,葡萄牙,韩国,罗马尼亚,俄罗斯,斯洛伐克,斯洛文尼亚,南非,西班牙,瑞典,瑞士,土耳其,乌克兰,英国和美国。(合计42个,中国不在加入国内)
 

图10:瓦森纳加入国全球分布深色区域为成员国范围

来源:网络,侵删


中国半导体产业迅速发展, 可半导体产业,尤其是芯片产业,还只是停留在制造阶段,因为缺乏核心技术。美国等西方国家对华出口管制,使得中国半导体设备制造业同国际先进水平还有2-3代的差距,落后国际先进水平5-10年。

全球五大半导体设备制造商:
  • Applied Materials(应用材料公司),全球领先的半导体、平板显示和太阳能光伏行业精密材料工程解决方案供应商,基本涵盖除光刻机以外的半导体前道工艺主要设备;

  • ASML(阿斯麦尔),为半导体生产商提供光刻机及相关服务;

  • Lam Research(泛林科技),全球刻蚀设备龙头企业,占据半导体刻蚀设备50%以上市场份额(泛林科技、东京电子和应用材料三家企业占据半导体干法刻蚀全球90%以上);

  • Tokyo Electron(东京电子),全球半导体设备巨头,产品几乎覆盖了除光刻机以外的半导体制造流程中的所有工序;

  • Dainippon Screen(大日本网屏)--专职研究开发各项半导体设备、液晶生产设备及专业级印刷设备;

  • 台积电、英特尔和三星等巨头,要生产芯片则需向上述五大设备制造商采购设备。为保证拿到最先进的设备,三星还入股ASML。中国的厂商向五大设备制造商下单,由于瓦森纳协定限制,不能采购到最新的机器,芯片制造先进设备上被牢牢的制约住了。



04

总结




除了极高的工艺难度、耗时耗资巨大的生态系统建设以及高区域集中等,半导体行业与普通制造业和高科技产业的不同还包括以下几个特点。

生产效率极高: 与其他制造业零部件单独生产不同,IC制造实际是讲电子器件“打碎”后具体进行的。在制作晶体管的某个结构部件时,其他成千上万的晶体管相同的结构部件,其他器件如电阻等兼容性的结构部件也同时被制造出来。同时,晶圆直径在持续增大,集成效率不断提高。当人们说起“科学技术时第一生产力”的时候,半导体制造领域中的实践提供了一个极好的注脚。

应用极为广泛: 便携/消费电子产品、医用电子产品、网络与通信电路、国防军事、办公及计算机、自动控制,这些领域都需要IC制造来驱动。同时,应用的多样化也决定了无法用单一工艺技术来满足所有需求,工艺流程的不断提升也是半导体的必经之路。

加工技术的基础性地位: 与芯片微电子制造相近或者同源的技术,还用于太阳能电池、液晶平板、光器件(如LED等)的制造。微电子制造中投入和研发的技术,可以向其他产业做延伸性的应用。

2017年,美国总统科技顾问委员会发表《确保美国半导体的长期领导地位》(Ensuring Long-Term US Leadership in Semiconductors),里面有一句对集成电路产业的经典判断:从历史上看,全球半导体市场从来就不是一个完全的竞争市场。

2021年11月26日,美国商务部工业与安全局(BIS) 修订《出口管理条例》(EAR),将来自中国、日本、巴基斯坦和新加坡的27家实体加入实体清单,包括12家中国实体,其中有5家芯片企业:中科微、国科微、新华三半导体、西安航天华迅、云芯微。

19世纪20年代,德国经济学家李斯特在《政治经济学的国名经济体系》提出一个“踢开梯子”的说法——“这本来是一个极为寻常的巧妙手法,一个人当他已经攀上高峰以后,就会把逐步攀高时所使用的那个梯子一脚踢开,以免别人跟上来。”

美国政府深谙此道。中国作为后来挑战者,芯片发展之路将经受重重阻挠。而从前文我们理解到,芯片制造问题不是投入资金就能解决的,国内企业团结建立生态系统、长期培养基础化学与基础物理人才、扶持配套产业发展(半导体材料、设备与封装测试)、甚至是国际政治上的斡旋,综合发力才能真正的提高中国半导体产业和“中国芯”的竞争力。
 
 
—END—
    作者 | 火石创造 王晶
 审核 | 火石创造 邵钱、殷莉
运营 | 火石创造 黄淑萍
如需转载,请留言申请或邮件至contact@hsmap.com处理

如果您也在思考如何用数据驱动产业高质量发展,欢迎来电咨询:400-656-6867



我们 提供了资源共享的平台
群内不定期发放产业报告/最新行业资讯
添加微信请备注:单位+职务+姓名


 行业观察 



地域洞察

(点击关键词即可直接阅读)


上海生物医药|上海政策|上海临床资源

山东生物医药|山东链长制

武汉产业发展|武汉医疗器械|粤港澳创新发展

吉林中医药发展|吉林生物医药

黄河金三角地区|京津冀地区生物医药

成渝器械|成渝生物医药|成都重点产业

河南生物医药|河南政策|江西生物医药

陕西中医药|陕西产业


火石创造助力做强做优做大我国数字经济



火石产业大脑赋能政府侧、服务市场侧

数据驱动产业发展就找「火石创造」

点击下方【阅读原文】,获取产业大脑解决方案