十年耕耘实现“一步低温”印刷新工艺,中科院团队研发铜掺杂的p型半导体材料,可印制1-20nm厚的二维薄膜材料

收藏
关键词: 半导体研发印刷半导体材料
资讯来源:DeepTech深科技
发布时间: 2023-02-23

当下,手机、笔记本电脑等移动终端,是许多人必不可少的电子产品。“充电 5 分钟、通话 2 小时”即是大家耳熟能详的一句广告词,也体现出电子产品对于快速充电的迫切需求。

自从手机厂商在快充技术中使用氮化镓(GaN)以来,这种第三代半导体材料几乎已经成为快充手机的标配。

与此同时,人们又将视野瞄向性能更强大的第四代半导体材料:氧化镓(Ga 2 O 3 )。其中,最现实的原因之一在于它能造出更强悍的充电头。

近年来,无论是氮化镓还是氧化镓,均为深受全球半导体界重视的新兴材料。在制备性能更优的电子器件、进而推动电子设备的升级改造上,它们具备前所未有的优势。

尤其是人们已经在氧化镓上取得了一系列新发现和新认识,这也让它成为“研究焦点中的焦点”。

相比以往的半导体材料,氧化镓具有更优的耐高压、耐高温、更好的抗辐射能力。

基于此,氧化镓半导体产业正逐步成为行业内炙手可热的热门赛道,对于氧化镓产业的研究和投资,在全球范围内都处于加速状态。

然而,氧化镓也并非完美无缺,p 型掺杂——是制备高性能氧化镓光电器件时的“拦路石”。若没有合理的解决措施,这一缺憾甚至会成为制约整个领域发展的瓶颈。

破局之道:在液态镓铟锡铜合金表面,生长铜掺杂的 p 型氧化镓材料

为此,中科院理化技术研究所刘静研究员和团队,基于在液态金属上的研究积累,提出一个全新的解决方案:利用液态金属镓表面可生长氧化镓材料的特点,通过在液态镓铟锡合金中掺杂铜,直接在液态镓铟锡铜合金表面生长出铜掺杂的 p 型氧化镓材料,这在业内属于第一次 [1]。

进一步地,利用液态金属大面积地印刷半导体薄膜的工艺,他们直接在电子衬底表面打印出厚度可控的 p 型氧化镓半导体薄膜。

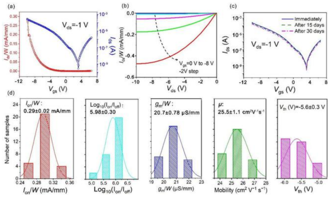
同时, 通过结合范德瓦尔斯堆叠和转移打印工艺,课题组构筑了性能优异的氧化镓 p-n 同质结二极管。

相比传统的掺杂工艺,这种直写方式可以大幅降低制造成本和复杂程度,借此制备的 p 型氧化镓晶体管,展现出优秀的均一性和稳定性。

(来源:Applied Physics Reviews

据介绍,本次成果的主要创新点在于首次开发和建立起一种液态金属掺杂半导体的一步低温印刷新工艺。在这种新工艺中,半导体的合成与掺杂是同时发生的,不仅能减少多步骤掺杂工艺的复杂性,而且全程均发生在较低的温度下。

采用这一工艺, 课题组从液态金属合金表面熔体中,获得了大面积高质量的铜掺杂的 p 型氧化镓。 由于无需高温的超洁净环境,这让成本和能耗得以大幅下降 [2]。

在使用受控金属掺杂剂合成半导体上,该团队的这一成果可以提供全新的方法。甚至普通用户都能自行操作这种液态金属印刷半导体技术,这为新一代半导体技术的进一步规模化创造了条件。

(来源:Applied Physics Reviews

在应用前景上: 由于此次方法具备一定普适性和实用性,因此利用液态金属印刷工艺,可以制备更多种类的掺杂型氧化镓半导体薄膜;

同时,高质量的 p 型氧化镓材料的成功制备,可以有力推动氧化镓基电子器件的工业化进程,比如可被用于制作二极管、双极性晶体管、场效应晶体管等功率型器件。

在新一代信息技术、节能减排和智能制造中,p 型氧化镓材料也可被作为一种核心元器件,从而用于固态照明、5G/6G 移动通信、智能电网、新能源汽车、消费类电子等领域。

耕耘十年,圆梦氧化镓

尽管论文发表于 2023 年,但研究起点则要从 2012 年说起。

当时,课题组在一篇长达 30 页的论文中,首次提出基于液态金属镓等材料直接制备各类导体和半导体,继而构筑功能器件的原理和方法 [3]。

他们介绍了这样一条技术路线:基于液态金属印刷、以及一些后续处理方法比如氧化、氮化、离子注入、化学修饰等,通过引入激光、微波或等离子体等辅助技术,来制造氧化镓、氮化镓、氧化铟、氧化锡等半导体材料,以及二极管、晶体管等更多衍生材料。

研究人员表示:“对于半导体和集成电路的传统工艺,这一技术思想带来了颠覆和革新。我们所取得的进展,也引起了广泛重视和认可。”

多年来,该团队一直在努力实现上述构想。如今,液态金属印刷电子学已经成为热门的前沿研究领域,课题组所研制的相关器件也陆续得到普及和应用。

不久之前,针对第三代半导体的室温大面积快速印刷,该团队建立了一种制备直接氮化技术路线 [4]。

相比高温制备氮化镓材料的传统工艺,这种新工艺利用氮等离子体,来处理液态金属镓表面。

在室温条件下,通过液态镓表面的限域氮化反应,直接在液态镓表面生长氮化镓薄膜,进而印制出厚度从 1nm 到 20nm 的氮化镓二维薄膜材料,继而构筑出一种晶体管。基于这一积累,他们成功印刷了 p 型、n 型的氧化镓。

(来源:Applied Physics Reviews

相信已有科学成果,但不迷信现有结论

那么,p 型、n 型的氧化镓到底是如何印出的?研究中,铜能否成功掺杂到液态金属表面的氧化镓薄膜中,是本次课题的重点和难点。

初步研究表明,理论上可以通过掺杂铜、氮、硒、锌、镁等元素实现 p 型氧化镓。然而,这不仅在学术实验室里没有先例,在业界实践中也没有任何成功的探索。

曾有国际同行研究过液态金属表面氧化物的掺杂,也试图实现液态金属半导体的掺杂,但却以失败告终。

为此,课题组决定先来制备 GaInSnCu 合金。铜的含量占比,是能否成功印刷、以及实现掺杂的关键因素。

期间,他们尝试了几十种掺杂比例,最终确定 GaInSnCu 合金的化学组成为 Ga65.66In20.09Sn12.25Cu2(wt%)。

印刷过程中,将 GaInSnCu 合金加热到 250℃ ,就能在 SiO 2 /Si 表面印刷液态 GaInSnCu 合金。

事实上,按照已有文献,液态镓铜合金表面生长出来的半导体,是单一的氧化镓半导体。因此在研究伊始,铜掺杂 p 型氧化镓半导体的制备,受到了较大的质疑。

研究人员表示:“我们自己也对能否成功制备 p 型氧化镓半导体产生过怀疑。”

后来,通过仔细研究已有镓铜合金中的铜元素含量,他们逐步加大镓铟锡铜合金中铜元素的含量,最终在 Ga65.66In20.09Sn12.25Cu2(wt%) 合金表面,生长出铜掺杂的 p 型氧化镓半导体。

(来源:Applied Physics Reviews

近日,相关论文以《Cu 掺杂 p 型 Ga2O3 半导体和 Ga2O3 同质结二极管的液态金属镓基印刷》(Liquid metal gallium-based printing of Cu-doped p-type Ga2O3semiconductor and Ga2O3 homojunction diodes)为题发在 Applied Physics Reviews 上 [1]。

图 | 相关论文(来源:Applied Physics Reviews

共同一作为中科院理化所助理研究员李倩和博士后杜邦登,通讯作者为刘静研究员。

图 | 李倩(来源:李倩)

李倩表示:“不确定性,或许正是科学的魅力所在。相信已有的科学成果,但又不迷信现有的科学结论。保持始终如一的心志,不断大胆尝试,终会得到别样的精彩。”

总的说来,以上探索延续了该团队研发低成本、高效节能的普惠电子制造的初心。

当前,第三代氮化镓和第四代半导体氧化镓备受全球关注,他们希望这些探索能提供一种崭新的思路。

接下来,在继续推进科研课题的同时,课题组也考虑将成果推向产业化。

不过,在氧化镓功能器件的产业化上依旧存在不少问题,包括边缘峰值电场难以抑制、增强型晶体管不易实现等。

增强型晶体管具有误开启自保护功能的特点,而且只需要单电源供电。因此在功率型应用中,通常选用增强型器件。

此前,由于氧化镓 p 型掺杂技术的缺失,场效应晶体管一般为耗尽型器件。假如采用增强型设计方案,往往会大幅提升器件的开态电阻,从而导致过高的导通损耗。

鉴于此次已经成功制备出 p 型氧化镓,下一步他们打算构建氧化镓的增强型晶体管,并与沟槽型结构相结合,从而实现氧化镓增强型的异质结场效应晶体管。

此外,由于缺乏 p 型氧化镓材料,关于 p 型氧化镓的基深紫外光电探测器依旧鲜有报道。

所以,他们也想构建基于 p 型氧化镓的二甲基砜型深紫外日盲光电探测器,以便最大程度发挥 p 型氧化镓薄膜特有的激子集体激发效应。

假如得以成功制备,届时必将在光电器件与电子器件领域,推动氧化镓材料的应用进展。

参考资料:

1. Q. Li, B. D. Du, J. Y. Gao, J. Liu, Liquid metal gallium-based printing of Cu-doped p-type Ga2O3 semiconductor and Ga2O3 homojunction diodes, Applied Physics Reviews 10, 011402, 2023

2. Q. Li, J. Liu, Liquid metal printing opening the way for energy conservation in semiconductor manufacturing industry Frontiers in Energy, 16 (4), 542-547, 2012.

3. Q. Zhang, Y. Zheng, J. Liu, Direct writing of electronics based on alloy and metal ink (DREAM Ink): A newly emerging area and its impact on energy, environment and health sciences, Frontiers in Energy, 6(4), 311-340, 2012.

4. Q. Li, B. D. Du, J. Y. Gao, B. Y. Xing, D. K. Wang, J. F. Ye, J. Liu, Room-temperature printing of ultrathin Quasi-2D GaN semiconductor via liquid metal gallium surface confined nitridation reaction, Advanced Materials Technologies, 7(11), 2200733, 2022.


由 DeepTech 携手《麻省理工科技评论》重磅推出的《科技之巅:全球突破性技术创新与未来趋势(20 周年珍藏版)》已开售!点击下方 海报可购买图书!!