导语:JNCC有望成为中国版CA?

在中国,癌症已经成为严重威胁国民健康的重大公共卫生问题。我国卫生部于2008年启动了全国癌症登记及后续行动计划。包括全国癌症监测网的建立、各省开展了癌症登记工作。
目前癌症防控国家级中心平台已基本建成,并构建起全国癌症防控网络,建立了中国肿瘤登记年报制度。2020年我国肿瘤登记工作区县达到1152个,各级参与肿瘤登记的机构达到49102家,实现了各省肿瘤登记工作的全覆盖,覆盖人口达5.98亿人。
国家癌症中心(NCC)是负责收集、评估和发布全国癌症统计工作机构。国家癌症中心2020年度工作报告指出,我国总体癌症5年生存率已经从10年前的30.9%上升到目前的40.5%。男性癌症发病前十位为肺癌、肝癌、胃癌、结直肠癌、食管癌、前列腺癌、膀胱癌、胰腺癌、淋巴瘤、脑瘤;女性癌症发病前十位为乳腺癌、肺癌、结直肠癌、甲状腺癌、胃癌、子宫颈癌、肝癌、子宫体癌、食管癌、脑瘤。
而近期具有里程碑式意义的是由2021年1月面世的《国家癌症中心杂志》(Journal of the National Cancer Center ,简称JNCC))创刊。这是由国家卫生健康委主管、国家癌症中心主办的英文肿瘤学术期刊,也是国家癌症中心主办的第一本英文杂志,是由中国科学院院士、国家癌症中心主任、中国医学科学院肿瘤医院赫捷院长担任主编,前美国国家癌症研究所资深医学官、深圳信立泰首席医学官谢恒博士任执行副主编。由全球顶尖肿瘤学术机构的著名学者担任编委。

https://www.journals.elsevier.com/journal-of-the-national-cancer-center/
JNCC将依托于国际知名的医学专业出版商爱思唯尔(ELSEVIER)联合出版,ELSEVIER是世界最大的医学与其他科学文献出版社之一,出版的学术期刊包括The Lancet、Cell等知名期刊。与此同时,JNCC编委团队具有丰富的高质量学术期刊创办和实践经验,将对稿件提出专业和权威的修改意见,进一步提高文章的专业水平和学术影响力。
JNCC 将秉承“以培育世界一流的中国科技期刊为目标,推动中国科技期刊高质量发展” 的理念,重点报道国内外肿瘤防控的最新成果,聚焦癌症 “防” 和 “控” 的中外差异及前沿进展。

来源:https://www.medsci.cn/sci/submit.do?id=48b018700
这本“肿瘤”主题的期刊将能够更好地反映中国癌症防控特色和流行病特征,助力中国肿瘤科研工作者在全球发出“中国声音”。我们认为该期刊定位学习最有名的神刊“CA” (CA-A CANCER JOURNAL FOR CLINICIANS《临床肿瘤杂志》),CA是Wiley-Blackwell为美国癌症协会出版的双月刊医学期刊。该杂志涵盖了癌症研究的各个方面,包括诊断,治疗和预防,其影响因子在SCI每年发布的JCR中一直处于领先位置,以肿瘤行业高引用的期刊现状,JNCC未来影响因子或将迅速攀升,有望突破10分以上。作为领先医学学术服务商梅斯医学旗下MedSci期刊数据库第一时间收录了本刊物,指出该刊物明年将获得期刊影响指数。
今年1月份,JNCC创刊文章中发表了由中国科学院院士、国家癌症中心主任、中国医学科学院肿瘤医院赫捷团队的重磅研究,文章题为“Cancer incidence and mortality in China, 2015”(2015年中国癌症发病与死亡统计),预估了我国2015年新癌症病例和死亡数、癌症发病率、死亡率。文章称,2015年,我国有癌症新发病例392.9万,总死亡人数为233.8万。发病首位的癌种,男性是肺癌,女性是乳腺癌。肺癌仍是我国死亡率最高的癌症。
截至2018年8月30日,癌症登记人口总数为387,872,825人,其中男性197,211,672人、女性190,661,153人,占全国人口总数的28.22%。覆盖了城市、农村和七个行政区域。七个行政区域分别包括北部(北京、天津、河北、山西、内蒙古)、东北部(黑龙江、吉林、辽宁)、东部(上海、山东、江苏、浙江、福建、安徽、江西)、中部(河南、湖北、湖南)、南部(广东、广西、海南)、西南部(重庆、四川、贵州、云南、西藏)和西北部(陕西、甘肃、宁夏、青海、新疆)。
总的来看,癌症发病率城市高于农村、癌症死亡率农村高于城市。肺癌是男性和女性中最常见的死亡原因。
与2014年同期数据相比,2015年中国各类癌症的粗发病率和死亡率略有上升。胃癌、食管癌、肝癌等癌症发病率有所下降,生活方式西式化导致如结肠癌、乳腺癌等疾病负担持续增长。传统癌症,如发病率高、预后差的食管癌、胃癌、肝癌和肺癌死亡率有所下降。其他癌症的死亡率仍在上升,如结直肠癌、前列腺癌和乳腺癌。当然,不同区域之间的发病率存在差异,而这些差异可能主要归因于接触致癌物质的多少、生活方式差异、卫生条件差异。
城市化进程加快和社会经济发展,也是导致中国人口老龄化可能是癌症疾病负担增加和癌症不断发生变化的关键原因。
我国癌症整体概况
从整体上看, 368个癌症登记处数据符合标准,并纳入分析。其中,有134个属于县级以上城市,234个属于县级城市。

中国368个有癌症登记处(圆圈代表癌症登记处)。
Zhang SW, Sun KX, Zheng RS, Zeng HM, Wang SM, Chen R, Wei WQ, He J. Cancer incidence and mortality in China, 2015[J].JNCC, 2020. DOI: https://doi.org/10.1016/j.jncc.2020.12.001.

表1:不同地区的登记处和人口数
登记人口为309,553,499人,其中男性156,934140人,女性152,619,359人,占2015年全国人口的22.52%
新发癌症病例数和癌症发病率预估
2015年新发癌症病例约392.9万例,其中男性215.1万例,女性177.8万例。粗发病率为285.83/10万,其中男性305.47/10万,女性265.21/10万。按世界标准人口计算的年龄标准化发病率(ASIRW)为186.39/10万,其中男性为206.49/10万,女性为168.45/10万。肺癌是最常见的癌症,总数为78.7万例,男性肺癌就有52万。女性中最常见的癌症是乳腺癌,为30.4万。(表2)

表2 :2015年新发癌症病例和发病率
城市的所有癌症ASIRW总和高于农村(191.5/10万vs 179.3/10万)。华南地区ASIRW最高(203.6/10万),其次是东北地区(189.0/10万)和华东地区(188.2/10万)。中国西南地区(161.6/10万)的ASIRW最低。结直肠癌、肺癌、女性乳腺癌、前列腺癌、肾癌、膀胱癌、淋巴细胞瘤和白血病的ASIRW,城市高于农村。食管癌、胃癌、肝癌、宫颈癌的ASIRW,农村高于城市。肾癌的ASIRW在华北地区最高。肺癌、女性乳腺癌和膀胱癌的ASIRW,在东北最高。食管癌和宫颈癌的ASIRW在中部地区最高。结直肠癌、肝癌、前列腺癌、淋巴瘤和白血病的ASIRW在华南地区最高。中国西北地区胃癌的ASIRW最高。(表3)

表3:368个癌症登记处按世界标准人口计算的选定癌症的年龄标准化发病率
2015年上报的癌症死亡人数约为233.8万,其中男性死亡人数为148万,女性死亡人数为85.8万。粗死亡率为170.05/10万,其中男性210.10/10万,女性128.00/10万。按世界标准人口计算的年龄标准化死亡率(ASMRW)为105.84/10万(男性138.57/10万,女性74.81/10万)。(表4)

表4:按癌症地点和性别分,2015年全国癌症死亡人数、粗死亡率和ASMRW
2015年癌症登记处特定癌症年龄标准化死亡率(ASMR)农村比城市要高(109.8/10万vs 102.8/10万)。中部地区癌症死亡率最高(112.8/10万),其次是东北地区(110.2/10万)和华东地区(108.4/10万)。华北地区死亡率最低,为94.7/10万。结直肠癌、女性乳腺癌、前列腺癌、肾癌、膀胱癌、淋巴瘤和白血病的ASMR,城市高于农村。食管癌、胃癌、肝癌、肺癌和宫颈癌的ASMR,农村高于城市。肺癌、女性乳腺癌、肾癌和膀胱癌的ASMR,在中国东北最高。食管癌和宫颈癌的ASMR在中部地区最高。华南地区大肠癌、肝癌、前列腺癌和淋巴瘤的ASMR最高。中国西北地区胃癌的ASMR最高。白血病ASMR各地区类似。(表5)

表5:2015年癌症登记处特定癌症的年龄标准化死亡率
不同年龄癌症发病率和死亡率
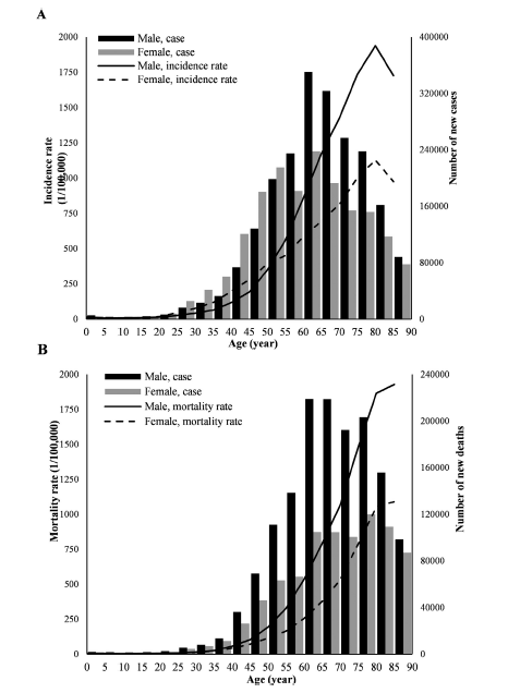
癌症发病率随年龄增长而增加,0 ~ 19岁、50 ~ 85岁以上,男性癌症发病率高于女性。20 ~ 49岁女性的癌症发病率高于男性。男性和女性新发癌症病例在60 ~64岁达到高峰。癌症死亡率随年龄增长而增加,在所有年龄组中,男性的癌症死亡率高于女性,男性60岁~64岁和女性75岁~79岁年龄组中,死亡人数达到峰值。

按性别划分、不同年龄组癌症发病数和死亡率(A)
按性别划分,不同年龄组癌症发病率和新发病例(B)
癌症发病率和死亡率的趋势
2000年~2015年,男性食管癌、胃癌和肝癌的ASIRW显著下降(p<0.05)。结直肠癌、胰腺癌、前列腺癌、脑癌、白血病的ASIRW显著升高(p <0.05)。这些年来,肺癌的ASIRW是稳定的。2000 - 2006年膀胱癌的ASIRW升高,但2007 ~ 2015年下降(p<0.05)。在女性中,2000 - 2015年食管癌、胃癌和肝癌的ASIRW显著下降(p <0.05)。2000 ~ 2015年,结直肠癌、肺癌、乳腺癌、宫颈癌、子宫癌、脑癌和甲状腺癌的ASIRW显著升高(p <0.05)(表6)。

表6:按照世界标准人口年龄标准化发病率评估2000 - 2015年中国癌症趋势
2000~2015年,男性食管癌、胃癌、肝癌和肺癌的ASMRW显著下降(p <0.05)。结直肠癌、胰腺癌和前列腺癌的ASMRW显著升高(p <0.05)。膀胱癌、脑癌和白血病的ASMRW多年来是稳定的。在女性中,食管癌、胃癌、肝癌和肺癌的ASMRW从2000年到2015年显著下降(p <0.05)。乳腺癌、宫颈癌和甲状腺癌的ASMRW显著升高(p <0.05)。结直肠癌、子宫癌和脑癌的ASMRW多年来保持稳定。(表7)

表7:按世界标准人口划分的年龄标准化中国特定癌症死亡率趋势(2000~2015)
2018年GLOBOCAN(全球肿瘤流行病统计数据)估计,中国食管癌发病30.7万例、死亡28.3万例,分别占世界食管癌病例和死亡总数的53.7%和55.7%。胃癌发病病例约45.6万例,死亡39万例,分别占世界胃癌病例和死亡总数的44.1%和49.9%。
但是,本次2015年这两种癌症的病例数和死亡人数的数据都低于GLOBOCAN的估计。文章认为,由于这两种癌症的发病率和死亡率呈现下降趋势和生存率上升趋势,2018年上消化道癌症实际疾病负担将低于GLOBOCAN的预测。
中国实施一、二级有效预防措施
20世纪50年代,河南省林县就开始了食道癌筛查工作;20世纪70年代,江苏省启东县肝癌筛查。在中国,癌症预防措施一直在开展实施。
传染性疾病
中国已经采取了一些措施来控制与传染相关的癌症,包括推行1985年血浆源性疫苗、1992年重组疫苗、乙肝疫苗、HPV疫苗,预计在不久的将来,与传染有关的癌症发病率将继续下降。超过50%的癌症死亡或能够逆转,如控制吸烟、饮酒、高热量食物摄入、久坐、糖尿病、慢性病等。
空气污染
PM2.5占中国肺癌死亡人数的23.9%,远高于全球16.5%的水平。2013年,中国政府发布了《大气污染防治行动计划》(APPCAP),这一政策大大降低了与环境空气污染有关的死亡率。要将死亡率维持在2010年的水平,中国空气污染水平需要在2030年之前下降。有效制定对抗空气污染的政策是降低全国人口疾病负担的最有效方式。然而,污染控制不是一朝一夕的事情。中国政府要实现对环境保护的承诺,还有很长的路要走。
吸烟
在《国民经济和社会发展第十二个五年规划纲要》中,中国政府承诺实现公共场所100%无烟环境。然而,只有少数城市采纳。中国需要建立全面有效的全国性无烟法律法规,以减少公共场所吸烟。目前吸烟和二手烟的流行率仍然很高。在过去的15年中,男性肺癌发病率保持在较高水平,而女性肺癌发病率急剧上升。
肥胖
在对抗肥胖流行方面,中国努力地促进均衡饮食和体育活动,但是超重和肥胖在中国成人和儿童中的发病率持续上升,这可能会导致结直肠癌、乳腺癌等发病率上升。
未来10年,中国的癌症负担可能还会继续增加,癌症概况将兼具发展中国家和发达国家的特征。我国颁布了一系列癌症控制措施,建立了全国癌症监测和随访,这些方法将阻止癌症增长负担。
MedSci期刊数据库目前收录期刊13500余种,仍然在不断更新。这里介绍如何更好地使用与查询:
一、MedSci期刊数据库有哪些功能?
1、搜索期刊:可以用中文,英文,简称,全称,ISSN号进行相关搜索,均可以得到您想要的结果。这是目前较为方便的数据库查询。例如,您对该领域的期刊并不熟悉,可以用一些模糊的学科搜索:如癌症,肿瘤,细胞,分子,药理等。如果对指定期刊很熟悉,则用全称更好。当然,一些业内公认的简称,如JBC,JCB,CMJ,NEJM等,都可以直接搜索。
2、为每个期刊提供全面详细的信息

特色在于影响指数与热门指数,以及论坛。影响指数主要提供JIF(期刊影响指数)和citescore,H指数,对于目前的所谓的影响因子,因为它是收费系统,因此,并不推荐使用。期刊影响指数与传统的影响因子相比,更为精准与客观,能更好地反映一个期刊的真实的影响水平。citescore是elsevier旗下的期刊评价系统,收录杂志范围高达23000余种,数量偏多,因此,一些低质量期刊也被纳入体系。
热门指数指的是中国学者关注的期刊,主要目的帮助大家更好地选择期刊进行投稿,同时识别水刊,以及期刊的异动(如果期刊突然热门指数上升,表明可能有异动。例如当年Medicine出现灌水,MedSci数据库是第一个发现,影响因子从8分直接降至3分以内,后来直线到达1-2分)。当然,也能很快发现期刊影响可能上升的情况。
期刊论坛:可以进行交流,提问,期刊各类动态都应该能及时了解到。论坛可以参与,回复等。同时在论坛中很多网友贡献了影响因子,审稿周期,关键词等有用的信息,也可以拿来使用。
二、期刊搜索列表页

所有红色标出的,其实都是十分有用的功能哦
三、期刊内容页

所有标出的红色的,都是有用的链接,不能忽视哦。
具体信息,可以访问“阅读原文”,进行查看。


个人中心
我是园区