
近日,“科技与狠活”、“海克斯科技”频频冲上热搜,很多网友一边调侃自己吃过多少种满满“科技与狠活”的食品,一边表示“无法抗拒、快乐加倍”,并流下了不争气的口水……
薯片配肉脯,辣条和雪糕,再来一杯肥宅快乐水……这些令我们魂牵梦绕的食物,在NOVA食品分类系统里有一个共同的名字:超加工食品(Ultra-processed foods,UPF)。
超加工食品是指使用一系列工业配方,在已经加工过的基础上再加工的食品,通常含有多种添加剂,且在家中一般无法直接制成。除我们熟知的“垃圾食品”外,生活中一些看似健康的深加工食品,其实也属于超加工食品,如巧克力、早餐麦片、即食披萨、包装好的饼干等。
事物往往具有两面性,享受便捷与愉悦的同时,也正如温水煮青蛙般,一点一点腐蚀着我们的健康,最终深深沦陷。目前已有研究证实,超加工食品(以下简称UPF)的摄入与肥胖、心血管疾病、糖尿病、肾功能障碍、癌症等有直接关系,但是UPF在其他方面的影响尚未充分评估。
近日,营养学领域知名期刊发表了一篇题为Does Consumption of Ultra-Processed Foods Matter for Liver Health? Prospective Analysis among Older Adults with Metabolic Syndrome 的研究论文,为“UPF高摄入量与非酒精性脂肪性肝病(Non-alcoholic fatty liver disease,NAFLD)的发生紧密相关”这一论点再添有力佐证。
在这项来自西班牙的大型前瞻性队列研究中,对PREDIMED-Plus试验中的5,867名患有超重/肥胖和代谢综合征 (MetS) 的老年参与者进行为期1年的随访。由有经验的营养师分别于实验开始的0,6,12个月进行数据收集,使用半定量食物频率问卷(FFQ)进行饮食习惯和营养摄入的评估,并使用专门为西班牙人设计的食物成分表用来计算包括钠、胆固醇、饱和/反式脂肪酸、纤维素、酒精等营养成分的摄入以及总能量的摄入。
需要说明的是,本研究根据NOVA系统(巴西圣保罗大学开发)将食物频率问卷中的143种食物和饮料分为4组:1)未加工或轻加工食物;2)加工的烹饪配料;3)加工食品;4)超加工食品。
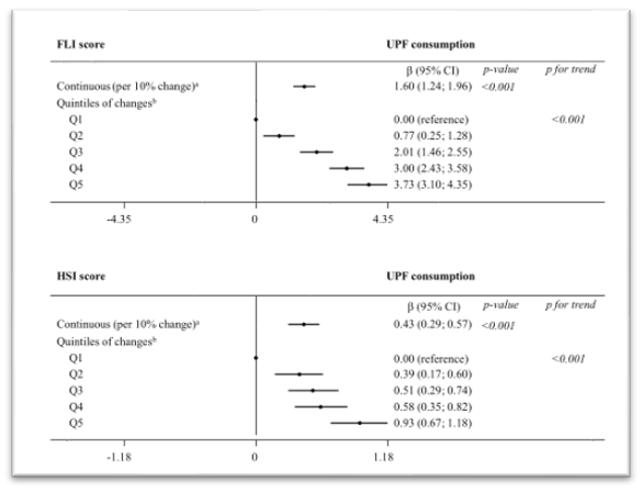
脂肪肝指数
(fatty liver index, FLI)
和肝脂肪变性指数
(hepatic steatosis index, HSI)
是诊断非酒精性脂肪性肝病(NAFLD)的评估指标,有较高的特异性和敏感性。
FLI和HSI的计算是基于对BMI、腰围、血清甘油三酯、GGT、AST/ALT、2型糖尿病程度和性别等因素的分析。将FLI≥60或HSI≥36的定义为NAFLD。
实验开始时,根据UPF的消耗量的多少将参与者分为5组。与UPF消耗最低组(Q1)相比,消耗最高组(Q5)参与者的年龄更小,生活方式不健康,久坐时间、能量摄入、饱和/反式脂肪酸、胆固醇、糖摄入、BMI、腰围都较高,纤维素和酒精的摄入较低,对地中海饮食的坚持度较差。另外,Q5组的ALT/AST、甘油三酯、NAFLD指标(FLI和HSI)都表现出更高的水平。
(注:UPF消耗百分比的计算方法为:每天摄入的UPF食物克数除以每天摄入的所有食物总克数,再乘以100。)
实验初期结果显示,
在超加工食品中,受试者们对甜品、非酒精性饮料、加工过的肉类最为青睐。
不同食物组在受试者饮食中UPF消耗量的相对贡献比值
在随访过程中发现,随着时间的变化,所有参与者对未加工或轻加工食品的消耗增加,加工程度较高的食品消耗减少,其中原因可能是由于向参与者进行了地中海饮食的推荐。
对UPF消耗量与NAFLD指标之间的关系分析表明,
UPF的每日消耗量增加10%,FLI和HSI即可发生显著的增高!
为了消除包括饮食的营养质量、BMI和腰围等其他因素的影响,研究者对分析进行了进一步校正,最终结果表明
UPF消耗量与NAFLD指标变化具有统计学意义上的显著相关性。
通过中介效应分析,研究者发现在营养因素方面,
地中海饮食的坚持度对FLI和HSI的影响最大,分别占58%和43%,而钠摄入、胆固醇摄入和总能量的摄入对二者几乎没有影响。
在NAFLD相关生物指标方面,BMI和腰围对FLI和HSI的影响较大。这一发现为NAFLD的诊疗提供了新的见解。
综上所述,本研究结果与中国TCLSIH前瞻性队列研究的结果一致,更加确信了大量摄入UPF对NAFLD疾病发展有不可磨灭的作用。
那么,为什么食用超加工食品会对肝脏有如此大的影响呢?
基于此,研究者提出了几种潜在的作用机制,包括
UPF的营养特性较差
(饱和脂肪酸和反式脂肪酸含量高、膳食纤维含量低等)
、
使用的添加剂对肝脏有害、取代健康食品摄入进而间接导致肝脏脂质过度积累等
,均可能是造成食用者“肝肠寸断”的原因。
近年来,越来越多食品加工和健康风险暴露在大众面前,本研究为膳食建议和食品政策的制定提供了新的证据。目前,NAFLD的治疗方式选择方面仍存在一定的争议,本文进一步表明了饮食调整在NAFLD管理中的重要性,可考虑减少UPF的食用,而倾向于食用新鲜或最少加工的食品,作为NAFLD的有效预防和治疗策略。
身体的运转如同一台机器,保养非一日之功,损害非一日之寒。长期大量食用超加工食品,可能享受了一时之爽,但着实是给身体埋下了实实在在的隐患,简直是「吾视为蜜糖,彼实为砒霜」啊!
但需要特别说明的是,食品加工技术并不总是负面的,它可以为我们带来更长的保质期和更赞的舌尖享受,只要我们谨记适度原则,在力所能及的范围内减少摄入,便能保护我们的健康之树不被“虫蛀”!
参考来源:
Jadwiga Konieczna, et al. Does Consumption of Ultra-Processed Foods Matter for Liver Health? Prospective Analysis among Older Adults with Metabolic Syndrome. nutrients.2022