准确率近90%!PNAS最新研究发现多种早期癌症检测的新方法,或是“滴血验癌”新未来!

收藏
关键词: 癌症新方法研究发现新研究
资讯来源:生物谷
发布时间: 2022-12-12
使用无创或微创的方式实现对各种癌症精准快速的诊断是无数科研工作者、医生和病人的期望。但之前,我们并没有很好的技术来实现这一点。由于癌症起病隐匿,发展速度快,所以许多病人往往在癌症的中晚期才被确诊,从而错过了最佳治疗期,这往往给患者的家庭带来了沉重的经济负担和巨大的心理压力。

同时,每年又有大量新的癌症患者被确诊,这也给社会带来不小的压力,而与此相对的是:大多数的癌症在发展的早期被发现后都能被很好的治疗,倘若患者能够在癌症的早期就被筛查到身体异常,这将极大地提高患者的生存率,降低家庭和社会的负担。

但遗憾的是,虽然对一些常见的癌症,如乳腺癌、肺癌、肝癌等有对应的检测方式和金标准,但目前主流的检测方法很难做到对各种类型的早期癌症做到精确快速的筛查。

近日, PNAS 的一篇文章: Noninvasive detection of any-stage cancer using free glycosaminoglycans 报告了一种新的,以前未经测试的方法,它可以很容易地同时发现多种类型的早期癌症,包括之前很难检测到的癌症类型。

其实早在2021年,Science和Nature的子刊就报道过一种基于基因组学驱动的液体活检技术(MCED),用于检测早期癌症的发生,简单来讲就是使用患者的血液样本分析其体液中的肿瘤成分,包括循环的肿瘤细胞和无细胞结构的肿瘤DNA,再通过检测基因表达的甲基化DNA基因组测序手段,将血液检测结合机器学习等技术,来寻找体内是否存在癌症的异常甲基化变化以及预测癌症在体内所处的位置。检测结果会在样本到达实验室后的10个工作日内出来。

然而,上述的这种方法并不是完美无缺,这些先进的液体活检所需的复杂检测增加了测量的成本,对于普通人来说,筛查的价格可能令人望而却步。更重要的是,只有少数液体活检验证了其在MCED的外部代表性人群中的I期敏感性。

为了优化体液检测早期癌症的方法,填补当前液体活检平台的信息空白, 这项新的方法研究的不再是基因组学和蛋白质组学,而是将癌症代谢作为一种可识别的癌症标志。 在作者之前的研究中通过肿瘤代谢的系统生物学泛癌性分析发现糖胺聚糖(GAG)的生物合成具有癌症特异性重编程的特点,作者在肾细胞癌(RCC)中发现血浆和尿液游离的GAG组(GAGomes)显著改变,这一发现促使作者研究不同癌症类型的游离GAGomes,并开发一种标准化的高通量超高效液相色谱结合三重四极杆质谱(UHPLC-MS/MS)方法来测量游离的GAGomes。

 
图一:GAGome的开发研究概述和总结分析 3

首先,研究人员进行了一项病例对照研究,如图一所示,包括979名受试者,这其中有代表了14种癌症类型的553名癌症患者,以及426名健康受试者,他们具有相似的人口统计学特征,作者在实验室使用标准化的UHPLLC-MS / MS试剂盒测量了96%受试者血浆中的游离GAGome,其包括硫酸软骨素(CS)、硫酸肝素(HS)和透明质酸(HA)的17个二糖亚单位的浓度和GAGome的特征,如CS和HS电荷,这导致每种液体共有39个特征。在这39个特征中,作者发现6个血浆和17个尿液的GAGome特征是可被检测到的。
 
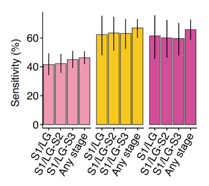
图二:血浆、尿液和不同阶段/分级组的综合评分的特异性为 95% 的敏感性3

接下来,作者将每种癌症类型中可检测到的GAGome特征与健康受试者的基线生理水平进行比较。敏感性分析表明,这个比较模型的建立是恰当可行的。作者认为对于一个给定的GAGome特征,其与正常生理水平的差异具有生理学意义,在确认所有癌症类型都具有与基线生理水平不同的通用GAGome特征后,他们又探索了使用GAGomes来区分任意的癌症病人和健康受试者,检测到最多的癌症类型是血浆评分最高的NHL,CRC和慢性淋巴细胞白血病(CLL),尿液联合评分最高的为RCC和非小细胞肺癌(NSCLC),如图二所示。总之,这些发现表明,游离GAGomes与早期和晚期癌症的生理水平显着不同,可用于MCED。

鉴于不同癌症类型中存在独特的游离GAGomes,作者还探讨了这些模式是否可用于识别癌症类型,结果发现使用游离GAGomes预测推定的癌症位置(PCL)的预测准确率为 89.2% ,同时,生存分析表明,未检测到游离GAGome MCED评分的患者具有更好的预后和更少的侵袭性癌症表型,并且其与肿瘤分期和分级没有明显的关系。 

进一步的,作者研究了任意癌症类型的游离GAGomes的改变是否与体内癌症的发作和进展在机械上相关。
 
图三:小鼠癌症进展期间血浆和游离GAGomes的变化3

对BALB / c小鼠进行肾腺癌肿瘤细胞原位诱导,第7天切除含有肿瘤的肾脏,第20天处死小鼠,在这个过程中,对小鼠的尿液和血浆游离的GAGome进行了纵向测量,主成分分析显示,血浆游离GAGomes和尿液中游离GAGomes的较小程度的改变与从基线(第0天)到局部生长(第6天)到术后切除(第8天)到转移(第20天)的进展一致,这与人类癌症样本中观察到的模式也是相符的。

综上所述,此项 研究证明了游离GAGomes的代谢性质及其检测不良cfDNA脱落物癌症类型的能力,能够极大地补充基于基因组生物标志物的液体活检,为多模态MCED方法铺平了道路。 这种方法可能会进一步增加对I期癌症的敏感性,甚至达到 仅通过早期发现就可以大幅抑制癌症死亡率的水平。

事实上,通过血液检测实现癌症早筛的概念并不是近年才出现的,就在不久前,美国公司Theranos创始人伊丽莎白·霍姆斯因“滴血验癌”的骗局被法院以欺诈罪判处135个月监禁,曾经估值高达90亿美元的血液检测公司轰然倒塌,这场惊天骗局也让我们从一个侧面了解到市场对于实现癌症快速准确的早筛有多大的渴望。

虽然在癌症早筛这条路上,血液检测这个方法“栽了个大跟头”,但我们仍有理由相信,快速便捷准确的早筛手段一定会在不远的以后来到我们的身边,为人民的身体安全保驾护航。

参考文献:
1. Heitzer, E., Haque, I.S., Roberts, C.E.S. et al. Current and future perspectives of liquid biopsies in genomics-driven oncology. Nat Rev Genet 20, 71–88 (2019).
2. D. Crosby et al., Early detection of cancer. Science 375, eaay9040 (2022)
3. Bratulic S, Limeta A, Dabestani S, et al. Noninvasive detection of any-stage cancer using free glycosaminoglycans. Proc Natl Acad Sci U S A. 2022;119(50):e2115328119.

撰文 | 之予
编辑 | cici

精彩推荐:

1、为什么冬季新冠猖獗?科学家揭露首个生物学机制!

2、抗老只能靠基因?Nature Aging新研究:年轻做的事都“刻”在基因里,影响晚年基因活动,甚至缩短寿命!

3、不粘锅有划痕致癌不能用?最新研究揭示:微小划痕即可释放百万级有毒微塑料,或可造成永久伤害!

4、喝茶养生是真的!加奶也行!最新研究:每天1-6杯红茶,心血管病风险降低42%、抗癌长寿不痴呆!

5、闻闻肉味就能瘦?Nature子刊:「气味疗法」可促进脂质代谢轻松减重,或是减肥困难户福音!