▲点击上方的蓝色“医谷”关注我们
“置顶公众号”获取最有价值行业趋势信息
医谷微信号:yigoonet
今日(6月2日),国家组织药品联合采购办公室发布《全国药品集中采购文件(GY-YD2021-2)》公告,这也意味着第五批集采正式官宣启动。
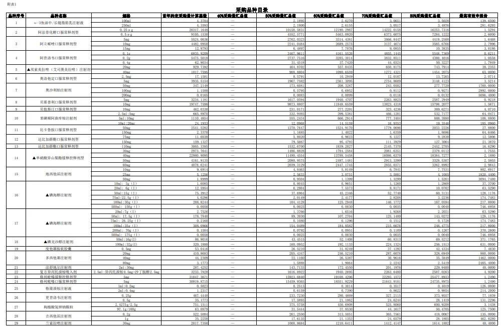
根据公告,此次第五批集采目录入围产品共计58个,将于6月23日上午8点在上海开始接收申报材料,递交截止时间为当日10点,供应地区确认时间和地点,在当日下午2点。
在中标规则方面,由于部分大品种企业较多,竞争激烈,因此,《公告》明确采购品种目录中同品种最多入围企业数根据符合“申报品种资格”的实际申报企业数确定,最多入围企业数可以达10家。

相应的,企业中标数量不同,采购量也就不同,采购文件显示,全国实际中选企业数为1家的,为首年约定采购量计算基数的50%;全国实际中选企业数为 2家的,为首年约定采购量计算基数的60%;全国实际中选企业数为3家的,为首年约定采购量计算基数的70%;全国实际中选企业数为4家及以上的,为首年约定采购量计算基数的80%。
在采购周期方面,全国实际中选企业数为1家或2家的,本轮采购周期原则上为1年;全国实际中选企业数为3家的,本轮采购周期原则上为2年;全国实际中选企业数为4家及以上的,本轮采购周期原则上为3年。
同时,采购文件还明确,采购周期内采购协议每年一签。续签采购协议时,约定采购量原则上不少于各地该中选药品上年约定采购量。采购周期内若提前完成当年约定采购量,超出部分中选企业仍按中选价进行供应,直至采购周期届满。
价格方面,与前几轮集采基本相同,采取1.8倍的报价机制(即同品种超过最低报价1.8倍的企业自动出局)以及降价50%的规则,具体而言,拟中选企业确定准则入围企业价格符合以下条件之一的,获得拟中选资格:“单位可比价”≤同品种最低“单位可比价”的1.8倍;“单位申报价”降幅≥50.00%(以《采购品种目录》对应规格最高有效申报价为基数进行计算),降幅以百分比计,四舍五入后保留百分比小数点后2位;“单位可比价”≤0.1000元。
值得一提的是,此次采购文件同样对部分品种采取了区别对待。
采购文件提出,阿奇霉素注射剂、氟康唑注射剂型、利奈唑胺葡萄糖注射液、莫西沙星滴眼剂、替硝唑口服常释剂型、头孢呋辛注射剂、头孢曲松注射剂、头孢他啶注射剂、头孢唑林注射剂型、左氧氟沙星注射剂型、布地奈德吸入剂,各地首年约定采购量按以下规则确定:全国实际中选企业数为 1 家的,为首年约定采购量计算基数的40%;全国实际中选企业数为2家的,为首年约定采购量计算基数的50%;全国实际中选企业数为3家的,为首年约定采购量计算基数的60%;全国实际中选企业数为4家及以上的,为首年约定采购量计算基数的70%。
附采购品种目录:



备注:附更多关于各地区首年约定采购量及各采购品种首年约定采购量,以及《全国药品集中采购文件》请点击文末左下方的“阅读原文”查看。
文 | 医谷

个人中心
我是园区
