
“食管癌文献月评”系列由【百济医学部】与【肿瘤资讯】共同推出,旨在分享食管癌领域的最新研究进展,更好助力临床诊疗。此次分享的3篇研究,分别针对食管癌术前血钠水平与辅助治疗结局和生存获益的关系、顺铂/氟尿嘧啶对比卡铂/紫杉醇放化疗疗法用于根治性或术前治疗食管癌的疗效与安全性、放化疗作为早期食管癌的非手术治疗选择三方面进行了探索。那么,这些研究的结果如何?又具有怎样的临床治疗价值?【肿瘤资讯】有幸邀请到四川省肿瘤医院的王奇峰教授就本期分享的研究进行了精彩分享与点评,现整理如下,以飨读者。
四川省肿瘤医院放疗胸二病区主任
四川省卫健委学术技术后备/海外高层次留学人才
美国德州大学MD安德森癌症中心访问学者
中国医药教育协会放射治疗专业委员会副主任委员
西部放射治疗协会胸部治疗专业委员会副主任委员CSGOR中国食管癌康复专家委员会副主任委员
四川省医学会放射治疗分会青年委员会副主任委员
擅长:胸部肿瘤以放疗为主的综合治疗
目前承担国家十三五慢病以及重点研发项目两项子课题,主持省科技厅和人社厅项目,目前已经发表论文60余篇,其中第一作者或通讯作者SCI论文20余篇,多个杂志的审稿专家
1.术前血钠水平作为食管癌辅助治疗预后的生物标志物
背景:低血钠与多种癌症不良预后有关已经被证实。血清钠在食管癌(EC)中的预后价值尚不清楚。本研究旨在探讨EC患者术前血钠水平与辅助治疗结局和生存获益的关系。
方法:回顾性分析四川省肿瘤医院2155例食管癌切除术患者术前血钠及临床病理指标。采用Kaplan-Meier法和Cox回归对总生存(OS)和无病生存(DFS)进行分析。使用倾向评分匹配评估辅助治疗的获益。
结果:在未接受治疗的患者中,低钠血症和高钠血症的发生率分别为2%(43/2155)和3.5%(76/2155)。两种钠代谢紊乱均提示较差的OS(低钠血症,校正的HR[95%CI]=1.78[1.2~2.62];高钠血症,校正后HR=1.52[1.1~2.11])和DFS(低钠血症,校正后HR[95%CI]=1.52[1.03~2.23];高钠血症,校正的HR=1.45[1.06~1.99])。钠浓度在正常范围内的降低与较差的OS和DFS相关。在低血钠(Na<139.6mmol/L)的患者中,术后辅助治疗可改善3年OS率(56.6% vs. 40%;校正的HR=0.55[95%CI,0.41~0.73])和DFS(51.9% vs. 36.2%;校正的HR=0.63[95%CI,0.48~0.83])。同时,血清钠与白细胞、中性粒细胞、单核细胞和C反应蛋白水平呈负相关。

图1. 总人群不同血钠水平的生存曲线。(A)根据血钠水平分组的OS率曲线;(B)根据血钠水平分组的DFS率曲线。血钠水平分组:正常,135~145mmol/L;高钠血症,>145mmol/L;低钠血症,<135mmol/L。生存曲线应用Kaplan-Meier法获得。P值根据log-rank法计算。
表1. 整体队列中不同术前血钠水平的多因素Cox回归分析

CT:化疗;CCRT:同步放化疗;OS:总生存;DFS:无病生存;HR:风险比;CI:可信区间. 血钠水平:正常范围,135~145mmol/L;高钠血症,>145mmol/L;低钠血症,<135mmol/L。
1多因素分析校正变量:性别,KPS评分,肿瘤组织学,肿瘤部位,肿瘤分化程度,切缘,血管侵犯,神经侵犯,淋巴结清扫数,pTNM分期,NLR,LMR和治疗组(手术+CT/CCRT vs. 手术)。
2多因素分析校正变量:性别(女性 vs. 男性),KPS评分(70~80 vs. 90~100),肿瘤组织学(腺癌、神经内分泌或其它 vs. 鳞癌),肿瘤分化程度(G2或G3 vs. G1),切缘(R1/R2 vs. R0),血管侵犯(是或否),神经侵犯(是或否),淋巴结清扫数(≥10个 vs. <10个),pTNM分期(IB~IV vs. IA),NLR和LMR。
3多因素分析校正变量:性别,肿瘤组织学,肿瘤分化程度,切缘,血管侵犯,神经侵犯,淋巴结清扫数和pTNM分期。

图2. 在倾向评分匹配队列中,不同血钠水平亚组中CT/CCRT辅助治疗的生存获益。(A~D)各亚组中不同治疗组OS曲线。(E~H)各亚组中不同治疗组PFS曲线。如图的顶部所示,根据血钠水平划分不同亚组;应用Kaplan-Meier法获得生存曲线;根据log-rank法计算P值。
表2. 不同血钠水平下辅助治疗的Cox回归分析

CT:化疗;CCRT:同步放化疗;OS:总生存;DFS:无病生存;HR:风险比;CI:可信区间. 血钠水平:亚组1,<139.6mmol/L;亚组2,139.6~141.05mmol/L;亚组3:141.05~142.4mmol/L;亚组4,>142.4mmol/L。
1单因素Cox回归分析结果。
2多因素Cox回归分析结果,校正变量:性别,年龄,KPS评分,肿瘤组织学,肿瘤部位,肿瘤分化程度,切缘,血管侵犯,神经侵犯,淋巴结清扫数,pTNM分期,NLR和LMR。
结论:这些结果提示,术前低血钠与EC患者不良预后有关,并可预测辅助治疗的生存获益。
专家点评
对于接受单纯手术的患者,影响患者治疗效果除了肿瘤本身的期别以外,肿瘤的微环境同样是影响患者预后的重要因素。肿瘤的微环境主要是营养微环境、炎症微环境、免疫微环境、凝血微环境、电解质微环境等。人体微环境构成了肿瘤生存的大环境。基于此,本项研究探讨了钠离子浓度对接受单纯手术患者的预后影响,低于正常水平和高于正常水平的患者预后均差于正常水平的患者。并且术后辅助治疗包括化疗或者放化疗可以改善这部分患者预后。即使是正常水平的钠离子,将患者等分成四份,随着钠离子水平的升高,患者的预后逐渐提高。并且正常范围内最低一组术后辅助治疗提高了患者生存时间。基于此研究,在临床诊疗过程中,除了关注肿瘤本身对预后的影响外,还要关注肿瘤的微环境。
引自:Wang Q, Peng L, Han Y, et al. Preoperative Serum Sodium Level as a Prognostic and Predictive Biomarker for Adjuvant Therapy in Esophageal Cancer. Front Oncol. 2021 Jan 21;10:555714.
2.顺铂/氟尿嘧啶(5-FU)与卡铂/紫杉醇放化疗疗法用于根治性或术前治疗食管癌的比较
目的:评价顺铂/5-FU和卡铂/紫杉醇两种标准化疗方案同期联合放疗用于治疗食管癌的疗效和毒副反应。
材料与方法:本研究前瞻性地查阅了364例经组织学证实为Ⅰ~ⅣA期食管癌的患者,这些患者均接受放化疗(CRT)治疗,接受或未接受手术切除治疗。所有患者在就诊时和CRT疗程结束后均接受手术评估和影像学检查。本研究对两种化疗方案的治疗和预后变量进行了比较。
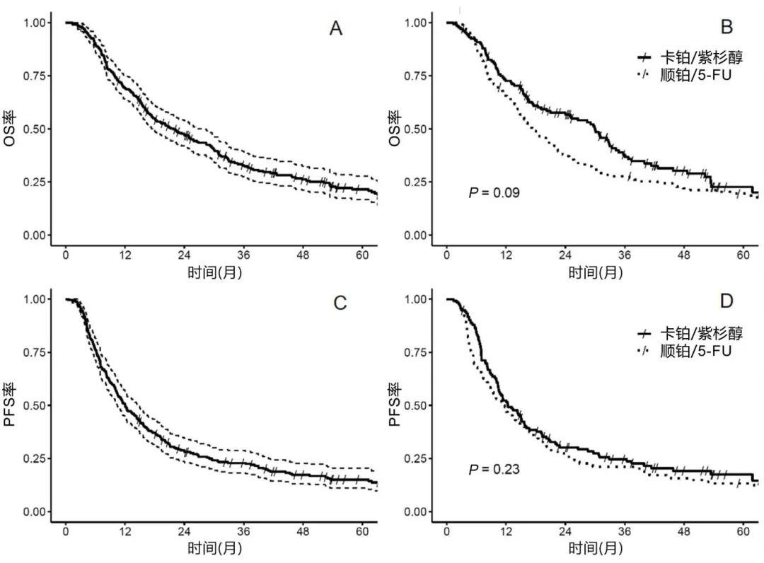
结果:研究确定了261例同期接受卡铂/紫杉醇(n=133)或顺铂/5-FU(n=128)治疗的患者。与接受顺铂/5-FU(中位数:11.0磅;体重的6.5%)相比,接受卡铂/紫杉醇(中位数:7.0磅;体重的4.1%)患者在CRT期间体重减轻较少(P<0.01)。在117例接受三联疗法的患者中,术后一个月内的死亡率相似。卡铂/紫杉醇方案的病理完全缓解率高于顺铂/5-FU方案(29.6% vs. 21.8%,P=0.03)。在多变量分析中,化疗方案与总生存(OS)或无进展生存(PFS)之间无相关性,尽管卡铂/紫杉醇有改善OS的趋势(HR=0.75,P=0.08)。进一步分析发现,三联疗法和肿瘤分期是OS和PFS改善的预测因素,而女性和肿瘤分级则为PFS改善的预测因素。

图1. 整体队列中放化疗完成后患者的体重变化
表1. 不同化疗方案下接受三联疗法患者的病理学缓解情况


图2. 所有患者(A)及不同化疗方案患者(B)OS的Kaplan-Meier分析;所有患者(C)及不同化疗方案患者(D)PFS的Kaplan-Meier分析
结论:与顺铂/5-FU相比,卡铂/紫杉醇可降低三联疗法患者的体重减轻程度,同时可改善病理学缓解率。研究观察到,在整个队列和三联疗法的患者中,不同化疗方案在OS、PFS、术后死亡率方面无差别。
专家点评
食管癌的术前同步放化疗和根治性放化疗中化疗方案一直是研究的热点,主要的化疗方案是顺铂+氟尿嘧啶(PF)或者紫杉醇+卡铂(TC),两种方案孰优孰劣,没有前瞻性研究做头对头比较研究。这项研究回顾性分析了两种方案的比较,研究的结果支持了TC方案在体重降低方面和病理完全缓解均优于PF方案,这个研究也支持我们在临床工作中要兼顾化疗方案的疗效和对患者生存质量的影响。所以对于中国的食管鳞癌患者还是要考虑首先使用紫杉醇加卡铂,特别在联合其他方式治疗时,比如联合免疫治疗或者手术。
引自:Steber C, Hughes RT, McTyre ER, et al. Cisplatin/5-Fluorouracil (5-FU) Versus Carboplatin/Paclitaxel Chemoradiotherapy as Definitive or Pre-Operative Treatment of Esophageal Cancer. Cureus. 2021 Jan 8;13(1):e12574.
3.放化疗作为早期食管癌的非手术治疗选择:一项回顾性队列研究
背景:对于早期食管癌,通过经食道切除或内镜切除的方法完全切除肿瘤与最佳的存活率有关。然而,患者的健康状况、解剖学特点或护理目标可能会使患者不符合切除的条件。在这种情况下,放化疗(CRT)可以作为一种非手术方法用于治疗,然而,CRT用于早期食管癌治疗的结局尚不完全清楚。
方法:在美国国家癌症数据库中查询2004年至2015年间在接受同期多药物放化疗之前尚未接受过任何治疗的cT1/T2、N0、M0期食管癌患者。排除医学上无法手术的患者。绘制Kaplan-Meier曲线以估计两种分期的患者诊断后的5年总生存(OS)率。
结果:在828例确诊患者中,279例为cT1,549例为cT2。对于2010年后的病例,cT1(N=124)被进一步分为cT1a(N=32,25.8%)和cT1b(N=46,37.1%)。Kaplan-Meier法估算的cT1和cT2的5年OS率分别为21.7%和25.9%。进行敏感性分析以降低健康状况不佳带来的竞争性生存风险。在589例无伴随疾病的患者中(即Charlson评分=0分),接受CRT治疗后的cT1组和cT2组的5年OS率分别为23.4%和27.8%。最后,通过对拒绝接受推荐的手术治疗的患者亚组进行评估,发现cT1组和cT2组的5年OS率分别为33.5%和33.4%。

图1. 接受放化疗和手术治疗的cT1N0和cT2N0患者OS率的Kaplan-Meier曲线。处于危险的患者数用每隔10个月的相关数值表示。蓝色代表接受根治性放化疗的cT1N0患者;红色代表接受手术治疗的cT1N0患者;绿色代表接受根治性放化疗的cT2N0患者;棕色代表接受手术治疗的cT2N0患者。CRT,放化疗。

图2. 接受放化疗和手术治疗的Charlson评分为0分的cT1N0和cT2N0患者OS率的Kaplan-Meier曲线。处于危险的患者数用每隔10个月的相关数值表示。蓝色代表接受根治性放化疗的cT1N0患者;红色代表接受手术治疗的cT1N0患者;绿色代表接受根治性放化疗的cT2N0患者;棕色代表接受手术治疗的cT2N0患者。CRT,放化疗。

图3. 接受放化疗且拒绝行手术治疗的cT1N0和cT2N0患者OS率的Kaplan-Meier曲线。处于危险的患者数用每隔10个月的相关数值表示。蓝色代表接受根治性放化疗的cT1N0患者;红色代表接受根治性放化疗的cT2N0患者。CRT,放化疗。
结论:CRT作为根治性非手术治疗方法后,高达三分之一的早期食管癌患者可被治愈。然而,在这种情况下,由于持续存在的健康相关偏倚,治愈率可能被低估。
专家点评
对于早期食管癌目前主要的治疗手段有几种,内镜下黏膜切除术、手术、放化疗。目前研究的热点是对于那些内镜下切除超范围的术后应该做手术还是放化疗。此研究也回应了一些研究热点,回答了对于临床分期T1-2的患者,放化疗也是一种可选策略,但是5年生存率30%不能让人满意。在患者接受放化疗的同时要考虑患者的一般状况,还要考虑是否接受手术的意愿,这些都是对患者治疗效果产生影响的因素。
引自:Pathak R, Canavan ME, Walters S, et al. Chemoradiation as a nonsurgical treatment option for early-stage esophageal cancers: a retrospective cohort study. J Thorac Dis. 2021 Jan;13(1):140-148.
排版编辑:肿瘤资讯-Goo
 
 
个人中心
            
我是园区