【氘代】科创板第二家氘代新药公司上市首日,股价涨幅超90%!

收藏
关键词: 上市新药
资讯来源:医药合作投融资联盟
所属行业:小分子靶向药
发布时间: 2020-05-18

前序:氘代新药迎来上市热潮,氘代丁苯那嗪中国获批上市,甲苯磺酸多纳非尼片提交上市,科创板已经有两家氘代新药公司,未来氘代新药市场竞争力如何,且看上市后临床获益和销售业绩。

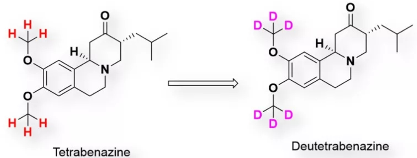
2019年12月27日,来自Teva(泰卫)的氘代丁苯那嗪片直接在我国递交新药上市申请(NDA),获得CDE承办受理公示。本品按照《临床急需境外新药审评审批工作程序》提交相关资料,直接提出上市申请。此前氘代丁苯那嗪片入选CDE第一批临床急需境外新药名单。2020年3月13日,CDE公示氘代丁苯那嗪片上市申请按优先审评范围(一)3款具有明显治疗优势药品纳入优先审评程序。 药融圈数据显示,2020年5月14日,安泰坦®(氘代丁苯那嗪片)在国内获批上市用于治疗与亨廷顿病(HD)有关的舞蹈病及成人迟发性运动障碍(TD) 2018年Austedo™全球营收2.04亿美元;2019年前3季度,北美地区销售额为2.75亿美元;2019财年全球业绩4.12亿美元。2020年,Teva预计本品将贡献6.5亿美元业绩。
安泰坦®(氘代丁苯那嗪片)最早由Auspex Pharmaceuticals研发,Teva在2015年以35亿美元巨资收购。
2020年5月11日,泽璟制药收到国家药品监督管理局(NMPA)下发的国家1类新药甲苯磺酸多纳非尼片(以下简称“多纳非尼”) 新药上市申请(NDA)的《受理通知书》。本次新药上市申请主要是基于试验ZGDH3的结果,申请甲苯磺酸多纳非尼片用于治疗晚期(无法手术或转移性)肝细胞癌的上市。与索拉非尼相比,多纳非尼(氘代索拉非尼 能够延长晚期 OS 具有统计学显著性。 并且具有更好的安全性和耐受性,有望成为一线优选治疗

2020年5月18日,江苏吉贝尔药业股份有限公司(688566) A 股股票在科创板上市交易。该公司A 股股本为 18,694.16 万股,其中 3,846.2332 万股于 2020 年 5 月 18 日上市交易。本次公开发行股票 4,673.54 万股,占发行后总股本的比例为25%。每股发行价23.69 元,募资11.07亿元,发行市盈 率40.55,发行市值44.29亿元。截止发稿,吉贝尔首发上市涨幅超90%,市值达到85亿元。

江苏吉贝尔药业是一家专业从事药品研发、生产、销售的国家高新技术企业。 经过多年发展,公司形成了以升白药物利可君片、复方抗高血压一类新药尼群洛尔片等高新技术产品为主的多元产品系列,并正致力于治疗抑郁症、肿瘤、胃病等疾病的创新型药物的研发,以满足市场和临床用药的需求。
吉贝尔药业 研发管线图如下
吉贝尔药业在研的创新药物包括抗抑郁药沃替西汀衍生物 (JJH201501)、抗肿瘤药多西他赛衍生物(JJH201601)、抗胃酸药沃诺拉赞衍生物(JJH201701)、治疗胆囊炎胆结石药物牛磺熊去氧胆酸衍生物(JJH201801)、 治疗干眼症药物 Lifitegrast 衍生物、降糖药桑酮碱胶囊、减肥药盐酸氯卡色林衍生物等。 吉贝尔药业的氘代药物研发技术成熟,目前在氘代研发技术平台开发出了 JJH201501、JJH201701、JJH201801 等多个氘代化合物 ,其中 JJH201501 已获得临床批件,现已完成Ⅰ期临床,正在开展Ⅱ期临床试验。

吉贝尔药业和上海交通大学颜德岳院士及其团队对多西他赛进行结构改造,通过分子设计和药效试验筛选,筛选出化合物 JJH201601,利用脂质体技术将其开发为脂质体制剂。 目前的试验结果显示,JJH201601 与进口多西他赛相比,裸鼠模型药效显著提高,且毒副作用明显降低,能够消除肿瘤,停药后与对照组比较未发现肿瘤复发,该结果已在胰腺癌 Panc-1、肺癌 A549 和肝癌 HepG2 模型得以验证。 已经申请了 JJH201601 化合物及其应用的相关专利。

募集资金用途 
根据发展规划,本次发行所募集的资金拟投资于以下项目:

联系我们
上海总部地址: 上海市浦东新区秋月路26号 矽岸国际一号楼四楼B座
医药一级项目投融资合作:
Edison@pharnex.com
咨询/会议/媒体PR合作 :
Daniel.peng@pharnex.com